PE Buckling
All flexible pipe materials can be subject to buckling due to external pressure or internal vacuum and PE pipes behave in a similar fashion to PVC and steel pipes.
Unsupported collapse pressure
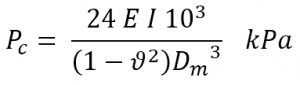
For pipe of uniform cross-section, the critical buckling pressure (Pc) can be calculated as follows:

For ease of use with PE pipes, this equation can be rearranged in terms of SDR:

where:
As the modulus is temperature and time dependent, the advice of Vinidex engineers should be sought for appropriate values.
Unsupported collapse pressures for PE 100 pipes under for a range of operating conditions is shown in the graph below. Note, a safety factor should be applied to these values. See below for more information.

Effect of Ovality
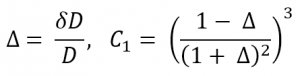
For an oval pipe with,

where:
Values for C1 are summarised in the following table:
| Diametral Deflection % | 0 | 1 | 2 | 5 | 10 |
| Reduction factor, C1, on Pc | 1 | 0.91 | 0.84 | 0.64 | 0.41 |
Note that these reductions apply to inherent initial ovality as distinct from induced ovality, ie., where ovality has been induced by some external (constant strain) source, as in deflection induced by soil loadings, the pipe is already in a state of elastic strain, and the resistance to buckling is degraded far less. In this case, the correction factor C2 is used as given in the following table:
| Diametral Deflection % | 0 | 1 | 2 | 5 | 10 |
| Reduction factor, C2, on Pc | 1 | 0.99 | 0.97 | 0.93 | 0.86 |
Supported collapse pressure
Support against buckling is provided by end constraints, fittings or special purpose stiffening rings at intervals around the pipe. Effective support reduces as distance from a stiffened section increases and should be considered zero at a distance of seven diameters.
A buried pipe derives support against buckling from stable soil surround. The effective buckling pressure may be computed from:
![]()
where:
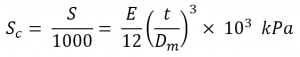
Sc is the ring bending stiffness calculated from

Note: S is the stiffness in N/m/m e.g. SDL in AS/NZS 2566.1
E’ is the soil modulus in MPa. For values of E’, refer to AS/NZS 2566.1.
For shallow burial, full support is not developed since buckling can occur by vertical lifting of the soil cover. AS/NZS 2566.1 specifies that for cover heights less than 0.5m, Pc be used to evaluate the potential for buckling. Where cover heights are greater than or equal to 0.5m, the greater of Pc and Pb should be used. In both cases, an appropriate factor of safety needs to be incorporated.
Factors of Safety
The values of Pc and Pb calculated require a factor of safety to be applied. AS/NZS 2566.1 specifies a factor of safety of 2.5 unless an alternative is specified by the designer. A lower factor of safety should only be specified where conditions and performance can be predicted with confidence. For example, in a calculation of unsupported buckling of a pipe under vacuum, a factor of 1.5 may be appropriate. In general terms, PN10 PE pipe should be used as a minimum for pump suction line installations.
Construction techniques
Where installation conditions potentially lead to negative pressures, consideration may need to be given to modification of construction technique. For example, ducting pipes may need to be sealed and filled with water during concrete encasement. In operation, fluid may be removed from the pipeline faster than it is supplied from the source. This can arise from valve operation, draining of the line or rupture of the line in service. Air valves must be provided at high points in the line and downstream from control valves to allow the entry of air into the line and prevent the creation of vacuum conditions. On long rising grades or flat runs where there are no significant high points or grade changes, air valves should be placed at least every 500-1000 metres at the engineer’s discretion.